Marcella Niehoff School of Nursing, Chicago, IL, États-Unis
Dans ce projet, la société Transsolar a fait preuve d’innovation en intégrant une dalle active radiative dans une structure métallique. La hauteur des plafonds est augmentée pour maximiser les apports lumineux, alors que la hauteur totale du bâtiment a été réduite. L’ouverture automatisée des fenêtres rend la ventilation naturelle possible lorsque les conditions le permettent. Les cheminées solaires jouxtant la cage d’escaliers en béton favorisent la ventilation naturelle pendant la saison estivale et entraîne le préchauffement d’air en hiver.
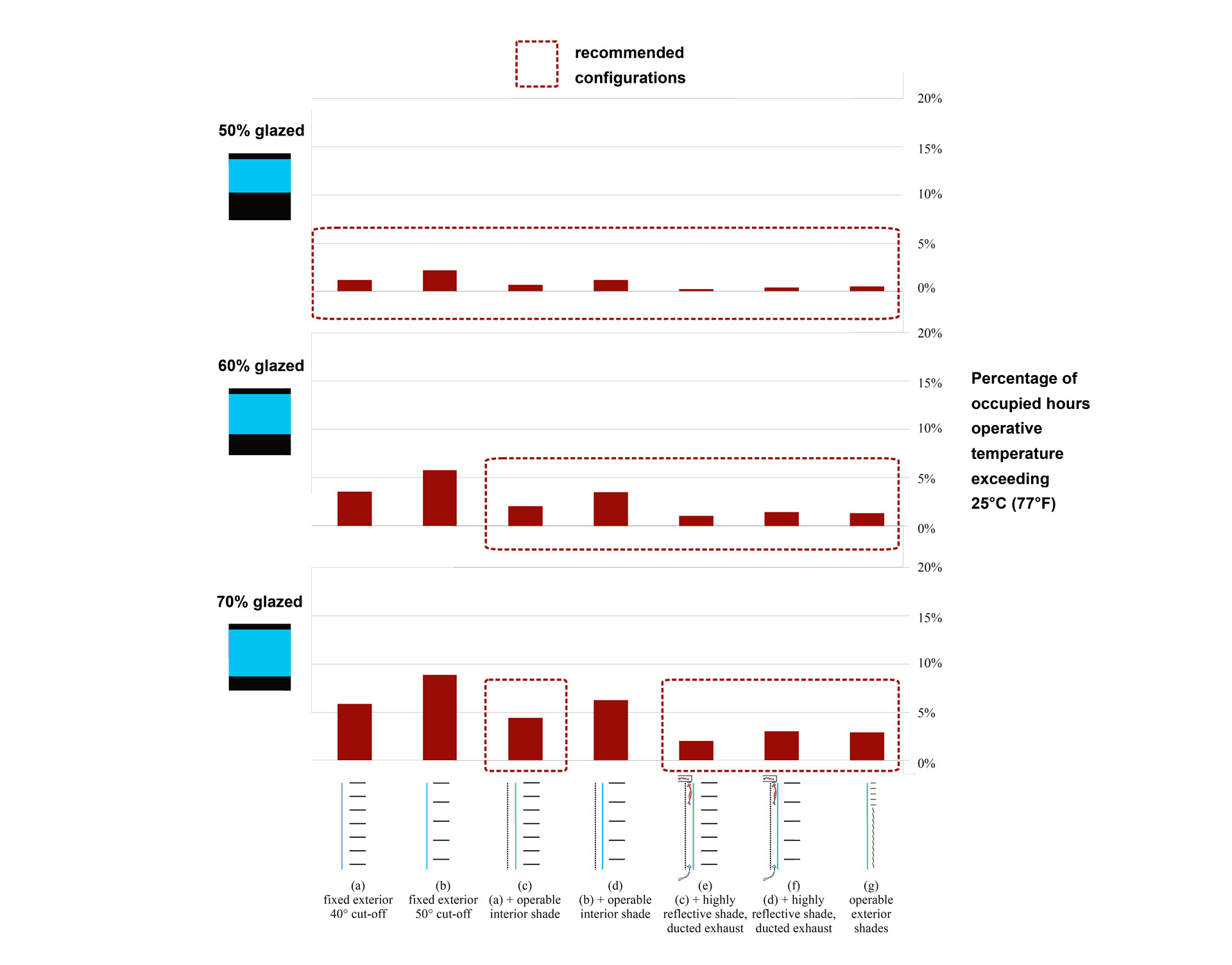
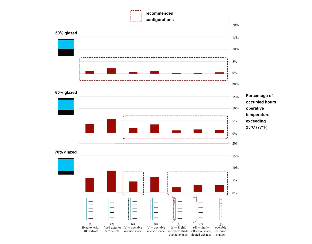
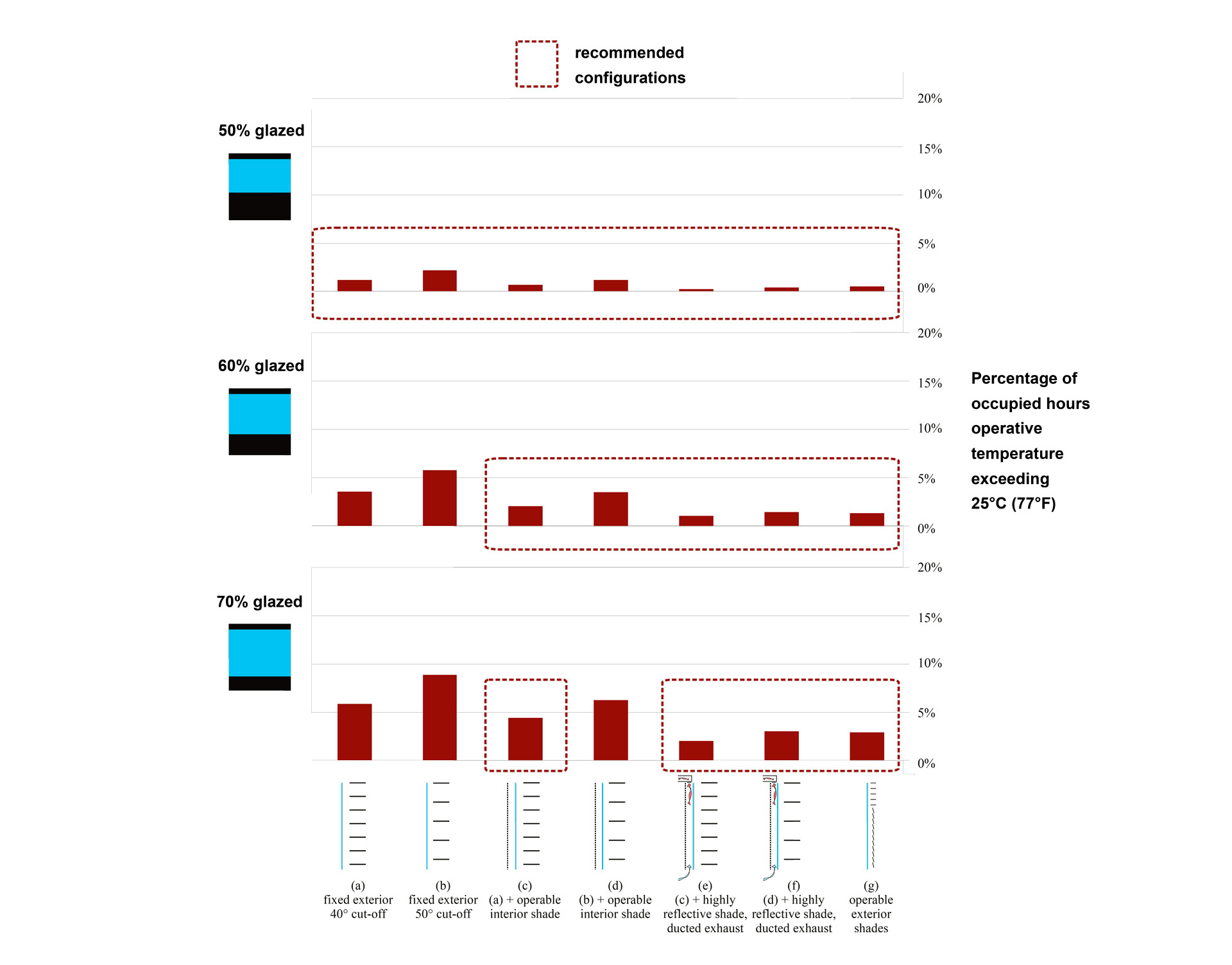
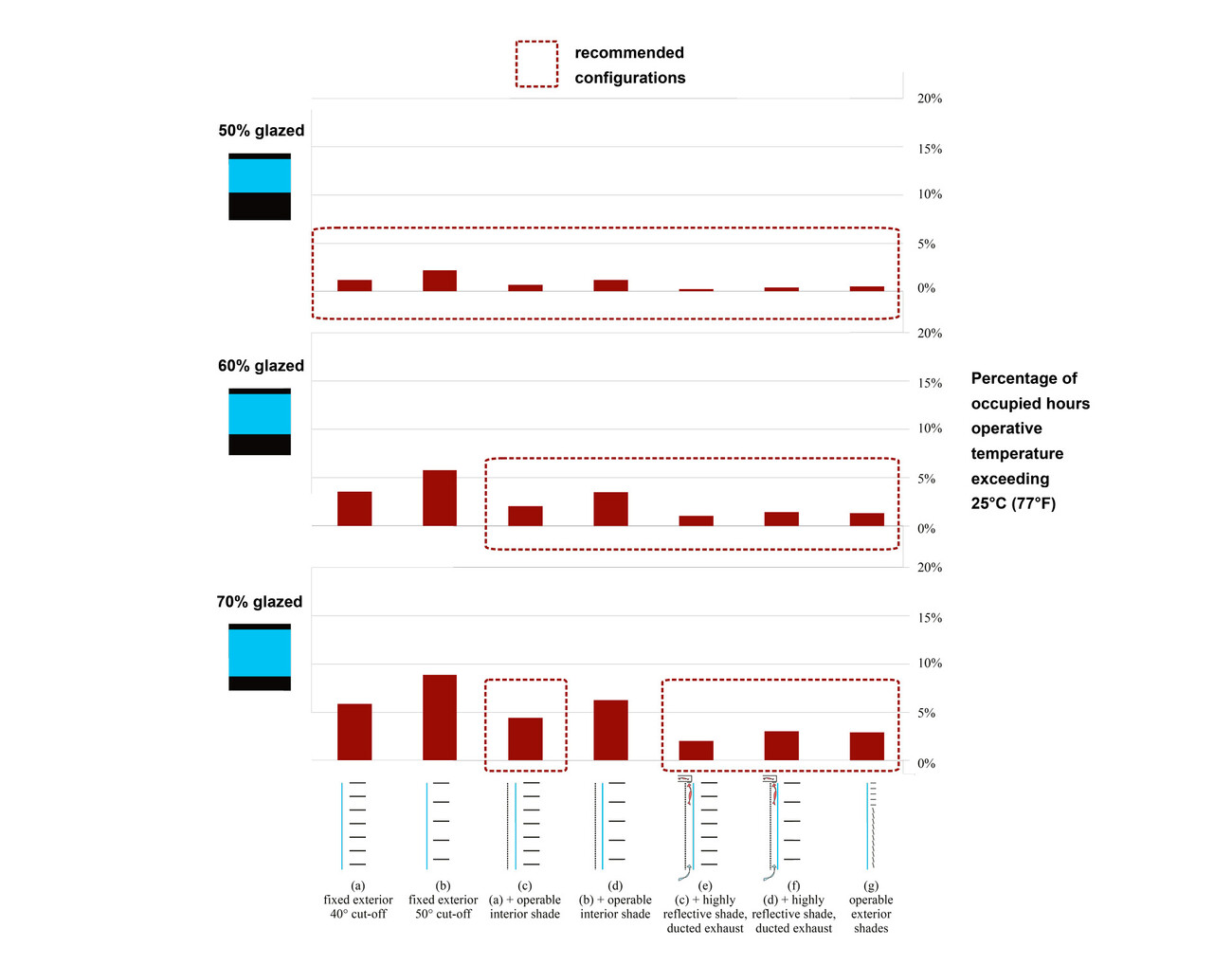
La combinaison d’un triple vitrage adapté avec des protections solaires efficaces installées suivant les recommandations de Transsolar limitent les gains et les pertes thermiques à travers les façades. Un écran de protection solaire amovible au niveau de la façade vitrée ouest assure un espace lumineux et transparent sans pénaliser le confort ou les consommations énergétiques dans les espaces d’études et les espaces réservés aux évènements.
Transsolar a développé le concept climatique, énergétique mais aussi architectural de ce projet, optimisant les performances énergétiques et les apports solaires à travers des simulations thermiques dynamiques. L’ensemble du bâtiment s’intègre parfaitement à l’environnement alentours et le confort thermique est assuré en été comme en hiver en suivant un cahier des charges spécifique.
La consommation énergétique globale du site est réduite de 37% sur la base de l'ASHRAE 90,12007, ce qui permet une économie de 41% des dépenses liées au chauffage et à la ventilation.
2013 LEED Gold Certification, US Green Buidling Council

